PSG Balita merupakan suatu aplikasi berbasis android, bertujuan untuk melakukan
Perhitungan Status Gizi pada bayi dibawah lima tahun (PSG Balita) dan merupakan
parameter untuk Balita terhadap pemantauan pertumbuhan dan perkembangan
mereka. Perhitungan status gizi mengacu pada baku rujukan Standar Pertumbuhan
WHO. Aplikasi ini hanya mengunakan nilai z-score dalam menghitung status gizi
pada indeks antropometri:
Berat Badan menurut Umur (WFA);
Panjang/Tinggi Badan menurut Umur (HFA);
Berat Badan menurut Panjang/Tinggi Badan (WFH);
Indeks Massa Tubuh menurut Umur (BFA);
Lingkar Lengan Atas menurut Umur (MUAC);
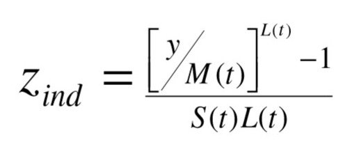
Lingkar Kepala menurut Umur (HCFA). Metode yang digunakan mengandalkan GAMLSS dengan distribusi eksponensial
Box-Cox. Selanjutnya disederhanakan menjadi model LMS. Oleh karena itu
perhitungan z-score pada aplikasi ini menggunakan rumus berdasarkan metode
LMS, yang diberlakukan pada semua indikator untuk memungkinkan derivasi dalam
interval yang sesuai dengan skor-z antara -3 dan 3. Alasan yang mendasarinya
adalah bahwa persentil di luar ± 3 SD tidak berubah terhadap perubahan dalam
skor-z yang setara. Untuk semua indikator, nilai-nilai yang cocok yang ditabulasi
dari Box-Cox, median dan koefisien variasi yang sesuai dengan Umur (atau
panjang / tinggi) dilambangkan “t”. Sehingga, Z-score untuk pengukuran “y” pada Umur “t” dihitung menggunakan persamaan:
Jika kata sandi Anda masih tidak berfungsi, saatnya untuk reset password.
Dibuat oleh: Agus Hendra Al Rahmad
Disponsori oleh: Politeknik Kesehatan Kemenkes Aceh
@2019